[ad_1]
Triggers of global cybersecurity debates
This section delves into the incidents and themes that have catalyzed widespread discussions. Figure 2 highlights certain events that stand out as key triggers for expansive cybersecurity debates as a function of time.
Cyberattack posts that generated the most comments are: 1. Trump Diverts Cyber Budget for Wall 2. Russia Accuses US of Cyber Assault 3. Anonymous Declares Cyber War on Putin 4. Russian Breach Threatens US Elections 5. Wikipedia Under DDoS Attack 6. Live DDoS Attack Monitoring 7. Mystery Hackers Target Core Internet 8. WikiLeaks DDOS Attack 9. Russian Hackers Leak Voter Data 10. Facebook Silent on Data Leak 11. Zuckerberg Summoned Over Breach 12. Amazon’s Roomba Acquisition Concerns 13. Microsoft Blasts NSA Over WannaCry 14. US Prioritizes Ransomware as Terrorism 15. Ransomware Skips Russian Computers 16. US Pipeline Closed After Cyberattack.
The discourse around malicious cyberattacks in the digital domain is heavily influenced by geopolitical tensions and the actions of nation-states. Notably, topics such as “Trump Diverts Cyber Budget for Wall” and “Russia Accuses US of Cyber Assault” highlight how cybersecurity is increasingly intertwined with political strategies and national security agendas. The redirection of funds meant for cyber defense to other political projects underscores the complex prioritization challenges faced by governments, while mutual accusations between powerful nations like the US and Russia reveal the cyber domain as a new battlefield for international disputes. The narrative of state-sponsored cyber activities is further enriched by instances like “Anonymous Declares Cyber War on Putin” and “Russian Breach Threatens US Elections,” where both non-state actors and foreign governments are implicated in attempts to influence political outcomes and public opinion through cyber means. These incidents underscore the growing significance of cyber capabilities in achieving political objectives and the vulnerability of democratic processes to digital interference.
Cyberattacks on infrastructure and services, such as “Wikipedia Under DDoS Attack” and “US Pipeline Closed After Cyberattack,” demonstrate the tangible impact of cyber threats on everyday life and the global economy. The targeting of essential services not only disrupts normalcy but also instills a sense of vulnerability within societies, highlighting the critical need for robust cybersecurity measures to protect public and private assets. The narrative also touches on the role of corporations in the cybersecurity ecosystem, as seen in “Facebook Silent on Data Leak” and “Amazon’s Roomba Acquisition Concerns.” These topics raise questions about data privacy, corporate responsibility, and the potential misuse of personal information in the age of digital commerce. The involvement of tech giants in cybersecurity dialogs reflects the blurring lines between corporate interests and public welfare, challenging traditional notions of privacy and security.
Furthermore, the mention of ransomware attacks in “Microsoft Blasts NSA Over WannaCry” and “US Prioritizes Ransomware as Terrorism” brings to light the evolving nature of cyber threats and the challenges in attributing and combating such attacks. The international community’s response to these incidents, ranging from public condemnation to treating cyberattacks as serious crimes, indicates a shift towards a more aggressive stance against cybercriminals and state-sponsored hackers.
The recurring themes across these discussions reveal the intersection of cybersecurity with geopolitics, economics, and societal norms. The pattern of state involvement, either as perpetrators or victims of cyberattacks, suggests a growing recognition of cyber capabilities as essential instruments of national power. Moreover, the frequent targeting of public infrastructure and services highlights the strategic value of disrupting daily life and economic activities as a means of exerting pressure or demonstrating capabilities. The involvement of private corporations in cybersecurity incidents raises critical questions about accountability, regulatory oversight, and the ethical use of technology.
Analyzing emotions in cybersecurity dialogs
The analysis of over 100,000 comments across five distinct subreddits offers a deep dive into the public’s emotional landscape concerning cybersecurity issues as shown in Fig. 3. This comprehensive examination uncovers not just the predominant emotion of anger but also the significant presence of sarcasm, and fear, curiosity, and a notable quantity of neutral comments, indicating a complex tapestry of public reaction to cybersecurity topics.
Anger emerges as the most pervasive emotion, consistently present across various topics. This intense feeling is primarily directed toward actions perceived as breaches of trust, privacy violations, and inadequate responses to cyber threats. For instance, discussions surrounding the FCC and Net Neutrality witness the highest level of anger, pointing towards a collective dissatisfaction with policies seen as endangering the principles of a free and fair internet. Similarly, topics like Chinese Hacking and Russian Hacking Charges evoke strong resentment, reflecting concerns over national security and the integrity of information.
Sarcasm stands out as the second most prevalent emotion, serving as a lens through which the community expresses skepticism and disillusionment with official narratives, policies, and the effectiveness of cybersecurity measures. This sentiment is particularly striking in the discourse on North Korean Cyber Operations, where ~30% of the comments are tinged with irony, highlighting a cynical view of the information disseminated by governments and organizations.
Fear, while less dominant than anger and sarcasm, underscores the community’s apprehensions about the implications of cyber threats on personal and national security. Topics like Kaspersky Lab Software and Ransomware Attacks elicit notable fear, reflecting worries about the risks posed by software vulnerabilities and the potential for widespread disruption caused by ransomware. Curiosity follows closely, with the community showing a robust interest in delving into the specifics of cybersecurity incidents and understanding the mechanics behind cyber threats. This is evident in discussions about DDoS Attacks, where a significant portion of comments reflects an eagerness to explore the motives and methods behind such cyber assaults.
An important aspect not to be overlooked is the substantial presence of neutral comments, which suggests that a portion of the discussion remains focused on objective reporting, technical analysis, and factual information sharing. These neutral comments are crucial as they often provide the foundational knowledge and context that inform the more emotionally charged discussions within the community.
The high percentage of disgust (3.91%) associated with the Murdoch phone hacking scandal suggests a deep public aversion to the violation of personal privacy inherent in such acts. Similarly, the significant level of hate (2.85%) surrounding the Iran-Israel cyber conflict points towards the intense emotions fueled by the deep political and ideological divides between the two nations, further amplified in the online sphere.
The prevalence of offensive comments (2.58%) regarding cyberbullying and online threats reflects the public’s distress at the increasingly negative nature of online interactions. Anonymity appears to embolden perpetrators to engage in harmful behavior, leading to a rise in offensive content.
Finally, the presence of toxic emotions (1.36%) in discussions about the Iran-Israel cyber conflict underscores the complex and volatile nature of geopolitical tensions in the digital age. Entrenched historical divisions and a lack of constructive dialog likely contribute to the overall toxicity of online discussions surrounding this topic.
The diverse emotional responses unveil a public that is not only reactive but also deeply engaged with topics related to cyber events and digital crime.
Community reaction: upvotes and emotions
Emotions play a crucial role in how online communities react to cyber incidents. By analyzing upvote patterns (Fig. 4), insights into the emotional undercurrents that drive these conversations are analyzed in this section. This analysis maps the dominant emotions present in discussions of various cybersecurity topics, shedding light on the collective emotional response within the community. On Reddit, users can upvote or downvote comments to express their opinions. To understand how emotions play a role in these discussions, we calculated the average upvote score for comments classified into different emotions within each topic.
Arrests and Guilty Pleas are met with strong negative reactions in the community, evidenced by high average upvotes for anger (28.56) and disgust (22.16). While curiosity (6.32) suggests some interest in the details of the cases, there’s also moderate support for neutral comments (10.75), indicating a desire for informative discussion alongside the emotional response.
CIA and Hacking discussions evoke strong emotions, with fear (36.26) and sadness (24.92) being the most upvoted. This indicates a deep community concern about CIA hacking activities. Anger (14.91) and disgust (15.66) are also present, but to a lesser extent, reflecting disapproval rather than hostility.
Chinese Hacking discussions focus on understanding the incidents (curiosity: 7.15) with a neutral tone (7.35). Interestingly, the presence of negative average upvotes for emotions like hate (−0.83) and toxic (−3.88) suggests a lack of community endorsement or engagement with comments expressing hostility or toxicity regarding Chinese hacking.
Discussions about Cisco systems and NSA trigger strong emotions, with fear (31.08) and sadness (25.44) being the most upvoted. Additionally, emotions like hate (6.21) and offensive (9.73) receive moderate average upvotes. However, emotions like curiosity (3.4) and disgust (0.08) receive relatively lower average upvotes, indicating lesser community interest or agreement with comments.
Regarding cyber attacks, online communities are fired up with anger (13.58) and keep a watchful eye (neutral: 21.21). While some delve deeper with curiosity (5.87), a shadow of fear (5.47) lurks. However, emotions like hate (3) and sadness (7.52) receive relatively lower average upvotes, indicating lesser community engagement or agreement with comments expressing strong negative sentiments or sadness regarding cyber-attacks.
Cyberbullying and online threats hit a nerve in online communities. People overwhelmingly express disgust (21.44) and strong negativity (toxic: 21.67) towards these issues. Fear (15.42) and sadness (9.06) are also present, showing the impact these threats have. There’s less focus on curiosity or hate, suggesting a strong sense of community against cyberbullying.
DDoS attacks trigger a firestorm of negativity online! People vent with extreme toxicity (93.43) and hatred (70.65). Sarcasm (24.85) and curiosity (14.82) are also high, suggesting a mix of anger and confusion. Interestingly, there’s less focus on disgust or taking personal offense, but a strong sense of community outrage prevails.
Fear dominates discussions about Data Breaches, with high upvotes for fear (25.25) and anger (16.91) indicating strong community concern. There’s also some sadness (13.84) and curiosity (10.69) about the implications. However, emotions like disgust (18.33) and hate (9.77) receive relatively lower average upvotes. Overall, the focus is on fear and anger, with some desire to understand the consequences.
Discussions about the Iran-Israel Cyber Conflict are highly emotional. Sadness (33.02) and sarcasm (35.91) lead the responses, suggesting both despair and cynicism. Disgust (28.76) and hate (29.04) also receive high upvotes. Overall, negativity with a focus on sadness and sarcasm marks this discussion.
Discussions surrounding Election Security are less emotionally charged, with fear (4) and sadness (8) leading, but at a lower intensity. This suggests concern, but not the same level of outrage seen in other topics. Curiosity (1.33) is also low. Overall, there’s less intense engagement compared to other cybersecurity topics.
Curiosity (5.17) and sadness (7.83) lead discussions on FCC and Net Neutrality, suggesting a desire to understand and some negativity. Anger (4.14) and sarcasm (2.76) are also present, but less pronounced. Overall, there’s a focus on understanding the issue with a touch of sadness and frustration.
Sadness (45.88) is the dominant emotion in discussions surrounding Kaspersky Lab Software, indicating a sense of loss or disappointment within the community. Anger (23.25) follows, suggesting frustration or betrayal. There’s some curiosity (3.12). Conversely, emotions such as disgust (1.82) and hate (0.83) receive lower average upvotes. Overall, sadness and anger color the reactions to this topic.
Discussions categorized as General center around fear (21.88), suggesting a sense of unease and apprehension about the unknown. Curiosity (8.78) and a neutral stance (11.69) are also present. Overall, the focus is on fear, with a desire to understand the nature of these diverse threats.
The Murdoch Phone Hacking Scandal evokes strong sadness (19.33) within the community, indicating empathy for those affected and a sense of injustice. Anger (11.23) and disgust (15.74) also score high. Overall, sadness and a sense of moral outrage dominate the emotional landscape of this discussion.
Sarcasm (46.87) leads the response to North Korean Cyber Operations, suggesting cynicism and disbelief within the community. Surprisingly, there’s also some sadness (12.64), perhaps reflecting the consequences of these attacks. Overall, discussions are marked by a mix of cynicism and some concern.
Discussions about Phishing Scams focus heavily on a neutral stance (7.02), likely indicating a desire for factual information and mitigation strategies. There’s also a desire to understand (curiosity: 5.75) how these attacks work. Overall, a focus on knowledge and practicality drives the community response.
Fear (44.53) is the driving force behind Ransomware Attack discussions, highlighting the sense of vulnerability and helplessness felt by the community. Anger (19.62) and disgust (20.36) are also present, suggesting a strong desire for retaliation. Overall, fear dominates, with a significant undercurrent of anger and frustration.
Curiosity (4) and neutrality (0.71) are the most prevalent sentiments surrounding Russian Hacking Charges, suggesting a desire to understand the issue without strong emotional investment. However, other emotions such as anger (−0.25), disgust (1), fear (0.5), hate (−2), offensive (1), sadness (0), sarcasm (1.75), and toxic (0) receive lower or negative average upvotes, suggesting comparatively lesser community engagement or agreement with comments expressing these sentiments. Overall, the focus is on gathering information rather than expressing strong reactions.
Discussions about Trojan Horse Malware are driven by fear (17.74), highlighting the hidden and insidious nature of this threat. There’s also a touch of hate (9.75) potentially aimed at the creators of such malware. Overall, the focus is on fear, with some contempt for those responsible.
Curiosity (58.7) dominates discussions about Trump-related hacking, suggesting a strong desire to unravel the details and implications of this complex issue. Anger (27.97) and fear (11.32) are also present. emotions like hate (−5) and toxic (3.67) receive lower average upvotes, indicating lesser community engagement or agreement with comments expressing these sentiments. Overall, a focus on discovery underlines the discussions, accompanied by a degree of anger and apprehension.
Emotional dynamics in digital communication
Figure 5 offers a compelling insight into the fluctuating landscape of emotional expression in digital conversations. These visualizations capture the complex tapestry of human emotions, highlighting the presence of anger, sadness, fear, sarcasm, neutrality, and curiosity in digital cybersecurity dialogs. Each graph is a temporal snapshot, mapping the intensity and prevalence of these emotions over time. Each data point on the graph represents the proportion of comments containing a specific emotion in a given month. The proportion is calculated by dividing the number of comments containing that emotion by the total number of comments in that month (range 0 to 1). The use of color intensity signifies the depth of discussion; darker shades signal areas of heightened emotional engagement, where discussions may have become more passionate, heated, or involved.
Anger in cybersecurity discussions often stems from a perceived lack of security, deception, or malicious actions. Accusations against nation-states for hacking activities (“Trump blames China for campaign hacking”) highlight anger directed at foreign adversaries. Anger towards government policies or inaction (“FCC lied to Congress about made-up DDoS attack”) reveals a sense of betrayal and frustration within the cybersecurity community. Data breaches that expose personal information (“Comcast Data Breach Leaks Thousands of Unlisted Phone Numbers”) and ransomware attacks that disrupt critical services (“The City Of Baltimore Blew Off A $76,000 Ransomware Demand…”) incite anger toward criminal actors.
Fear frequently arises from direct threats posed by attackers. Titles warning of malware (“Discord malware is a persistent and growing threat”) and phishing scams (“Gmail is awash with bait attack phishing emails”) instill fear of victimization. Vulnerabilities in critical infrastructure (“Major Cyber Attack On U.S. Power Grid Is Likely”), raise deep-seated fears about national security. Furthermore, fear of government intrusion (“Cisco posts kit to empty houses to dodge NSA chop shops”) and corporate negligence (“U.S. enables Chinese hacking of Google”) suggest a lack of protection from those entrusted with power.
Titles evoking sadness often center around the loss of privacy (“Google Chief: My Fears for Generation Facebook”) and the devastating consequences of cyberbullying (“New York Tween Kills Herself After Cyberbullying”). The human cost of cyberattacks transcends financial loss, as seen in titles describing the tragic outcomes of ransomware (“A man who found his computer infected with ransomware…decided to take his own life”). Sadness is further fueled by a sense of government incompetence (“States Take On Election Hacking. Washington Ignores It”) and a lack of transparency (“FCC lied to Congress about made-up DDoS attack”).
Sarcasm is a common response to perceived failures in cybersecurity. Titles mocking ineffective security measures (“Poodlecorp threaten to take Pokemon Go offline… ‘because they can’“) highlight a lack of confidence in basic defenses. Scapegoating and deflecting responsibility by those involved in cyber incidents (“Pegasus spyware seller: Blame our customers, not us, for hacking”) often elicit sarcastic responses. Hyperbole, political point-scoring, and ironic situations (“Melania Trump: Critics will not stop me from fighting cyberbullying”) all underscore the cynical view of cybersecurity held by many within the community.
Neutral titles focus on factual reporting, technical details, investigations, and geopolitical events. They objectively describe the consequences of cyberattacks (“Cyberattack hobbles major hospital chain’s US facilities…”), provide specific information about attack methods (“Windows Trojan BackDoor.TeamViewer.49 caused by…”), report on law enforcement actions (“US charges four Russian spies for hacking…”), and cover geopolitical cyber conflicts without assigning blame (“Iran blames foreign country for cyberattack…”).
Posts sparking curiosity explore emerging threats and the unknown consequences of cybercrime. They question the nature of reality (“Tech billionaires are asking scientists for help hacking humans out of the computer simulation…”), examine the potential dangers of AI-driven attacks (“AI cyberattacks will be almost impossible for humans to stop”), and delve into the geopolitical aspects of cyberwarfare (“North Korea ships malware-infected games…”). Curiosity also extends to the legal and political ramifications of cybercrime (“If Israel and Russia were both caught hacking the US, why is Russia the only one getting in trouble?”) as well as the ongoing human cost (“Cyberbullying follows teen to the grave”).
Other emotions such as toxicity, hate, offensive and disgust were found to be sparse over the entire period.
To capture recent trends, the analysis focused on the proportion of anger-related comments from 2019 to 2022, as visualized in Fig. 6. The daily values showed substantial fluctuations, but the 7-day moving average highlighted more persistent trends in public sentiment. The figure revealed several prominent peaks in the proportion of anger comments. The five highest peaks were annotated based on the post with the most comments during the surrounding week. These annotated peaks coincided with major incidents, such as the hacking of Disney+ accounts, a DDoS attack on a school, the US Cybersecurity Director’s refusal to edit election hacking myths, tensions between the US and Russia over Crimea and cyberattacks, and the revelation of a “cyber warfare” startup.
The temporal dynamics of other emotional responses, including fear, sarcasm, and curiosity, are presented in Figs. A2, A3, respectively, in the Supplementary Materials.
Fake news narratives and community engagement
To address RQ4, the analysis examined posts containing the term “fake news” in comparison to the broader dataset. The study identified 21 posts that explicitly contained the “fake news” keywords in their titles and analyzed their engagement metrics and emotional characteristics.
As shown in Table A5 (see Appendix), the collected posts predominantly focused on the intersection of fake news with cybersecurity themes, particularly around hacking incidents and election security. Notable examples include “Washington Post’s initial report on Russian hacking revised” and “France concerned over Russian interference in elections amid reports of hacking, fake news.” Several posts specifically addressed social media platforms’ roles, such as “Facebook has behaved like ‘digital gangsters,’ says a UK report on fake news and data privacy.” The analysis also revealed multiple instances of regulatory responses from different countries, including Indonesia’s threat to shut down Facebook if it failed to control fake news during elections and the EU’s warning to tech firms about potential regulations.
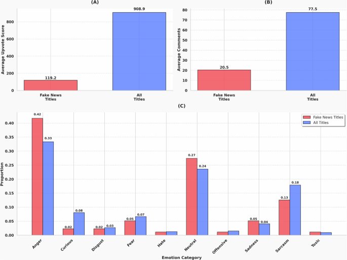
As illustrated in Fig. 7, the analysis revealed distinct patterns in community engagement between fake news-related posts and the general post population. Figure 7A shows that posts containing “fake news” terminology received significantly lower average upvote scores (119.2) compared to the overall average across all posts (908.9). Similarly, Fig. 7B demonstrates that the average number of comments on fake news-related posts (20.5) was notably lower than the general post average (77.5).
The emotional response analysis, depicted in Fig. 7C, revealed several distinct patterns in how the community responded to fake news-related content. Anger emerged as the predominant emotion in fake news-related posts, with a proportion of 0.42 compared to 0.33 in general posts. Neutral sentiment appeared as the second most common response, with proportions of 0.27 for fake news posts versus 0.24 for general posts. Sarcasm manifested less frequently in fake news posts (0.13) compared to general posts (0.18). Other emotions, such as curiosity, disgust, and fear, showed varying but generally lower proportions across both categories.
[ad_2]
Source link
Click Here For The Original Source.






